Descripción del Producto
Índice de colores: Pigmento rojo 49:1
Códigos iSuoChem: BR491-HC (tipo de alta intensidad de color), B R491-WB (Tipo nacido en el agua), B R491-P (Tinta offset - Modelos especiales)
Sinónimos: Pigmento CI Rojo 49:1, Escarlata Lithol R, Rojo PR49.1, Rojo Lithol (Bario)
N.º CI: 15630:1
N.º de registro sanitario CAS: 1103-38-4
N.º EINECS: 214-160-6
Grupo químico: Lago Monoazo
Peso molecular:
378.40
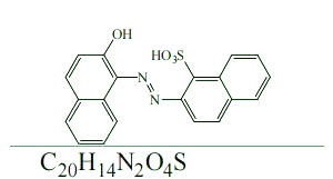
Fórmula molecular: C20H14N2O4S
Este pigmento orgánico rojo 49:1 (PR49:1) pertenece a la familia de pigmentos de laca β-naftol y presenta una absorción de aceite moderada y propiedades de resistencia equilibradas. Su gravedad específica es de 1,60-1,80, su volumen aparente es de 2,3-2,7 litros/kg y su tamaño medio de partícula se mantiene entre 100 y 200 nanómetros. Estas propiedades garantizan una excelente imprimibilidad en sistemas de tinta.
El pigmento rojo 49:1 presenta resistencia térmica hasta 180 °C y una solidez moderada a la luz. Presenta un color púrpura rojizo característico en ácido sulfúrico concentrado, que se transforma en una solución púrpura rojiza al diluirse. El pigmento es ligeramente soluble en agua caliente, etanol y acetona, y presenta una resistencia química moderada a ácidos, álcalis, disolventes y agua.
Mediante un proceso especial de resinización, este pigmento rojo PR49:1 se puede formular en una dispersión acuosa a base de resina acrílica de estireno, lo que resulta en una excelente opacidad y brillo. Este tratamiento garantiza una excelente compatibilidad y potencia de coloración en diversas tintas flexográficas y de huecograbado a base de agua, lo que lo hace especialmente adecuado para la impresión en papel kraft y cartón.
Este pigmento rojo PR49:1 también presenta una resistencia moderada a ácidos y álcalis, así como una buena resistencia a disolventes, lo que lo hace ideal para diversas aplicaciones complejas. Su alto poder colorante permite lograr el efecto de coloración deseado con una dosis relativamente baja, ofreciendo un excelente rendimiento económico.
Propiedades del pigmento rojo 49:1
|
Grado de resistencia al ácido |
3 |
|
Grado de resistencia a los álcalis
|
4 |
|
Grado de resistencia al alcohol
|
4 |
|
Densidad
|
1.8 |
|
Resistencia al calor
|
160°C |
|
Solidez a la luz
|
5 |
|
Valor de pH
|
7.0-8.0 |
| Absorción de aceite | 40-50 g/100 g |
|
Resistencia al jabón
|
3 |
|
Resistencia al sangrado
|
/ |
Descargar: Catálogo de Pigmentos Orgánicos Rojos
Pigmento rojo 49:1 Marca y código internacional
Rojo de bario litol
Cortone Red TBR
Daihan Rojo T-422
Litol de bario DCC 2310, 2318, 2319, 2326, 2327 y 8318
Eljon Red LN y LS y LW
Flexiverse Rojo 49:1 y AD491 y F
LBE rojo rápido
Foscolor Rojo 49:1
HD Sperse Red AP49
Lionol Red FG-L 3602
Omnicryl Bario Litol W-3800
Pasta Aquasol CL roja
Red Solfort CL
Seikafast Rojo LR-116
Simperm Rojo DI/A
Solintor Rojo 49RB y RBKX Esp.
Sunbrite Rojo 49:1 (210-4200 y 210-4509 y 210-4592)
Rojo Sunsperse 49:1 (6000 y C y 410-5010 y 410-5045 y 410-5093)
Rojo Suthol (bario) 523 y 525
Symuler Rojo 3016
Tobitol rojo B 4914C y 4917C
Uni Lithol Rojo SC
Vilma Lithol Rojo BAN
Aplicaciones del pigmento rojo 49:1
Tintas de impresión: El pigmento rojo 49:1 es muy recomendable para tintas offset y tintas flexográficas a base de agua ( tintas flexográficas ).
Además, Widely u Se utiliza en tintas de huecograbado para publicaciones y tintas para papel de periódico.
Impresión de embalajes:
Adecuado para imprimir y colorear materiales de embalaje como papel kraft y cartón.
Recubrimientos:
Se utiliza en recubrimientos industriales de secado al aire, proporcionando una solución roja rentable.
Nota:
Este pigmento ofrece importantes ventajas en cuanto a costo en tintas de impresión, pero su resistencia al calor es relativamente limitada, lo que lo hace inadecuado para plásticos procesados a altas temperaturas. Se recomienda para aplicaciones interiores con precios competitivos que no requieren una resistencia a la intemperie extremadamente alta.
Paquete de Pigmento rojo 49:1
Envasado en bolsas tejidas de plástico compuesto, peso neto 25 kg/bolsa, 1000 kg/palet, 10 pallets/20' FCL.
También disponible con forro impermeable. El embalaje exterior es una caja de cartón estándar para exportación, con un peso neto de 25 kg por caja.
iSu oChem Somos uno de los principales proveedores y fabricantes de pigmento orgánico rojo PR49:1 en China. Le invitamos a comprar y vender al por mayor pigmento rojo PR 49:1 a precios económicos y de calidad.






+86 13965049124
español
English
français
русский
italiano
português
العربية
한국의
ไทย
Tiếng Việt




